
近日,耽美小说 彭扬课题组与合作者团队(钟俊、焦研教授)详细研究了导电载体对导电MOF-Cu3(HITP)2的CO2RR性能的影响,在Nature Communications上发表题为“Promoting ethylene production over a wide potential window on Cu crystallites induced and stabilized via current shock and charge delocalization”的观点文章。 耽美小说 博士生孙浩为第一作者、澳大利亚陈凌博士为共同一作。

【本文要点】
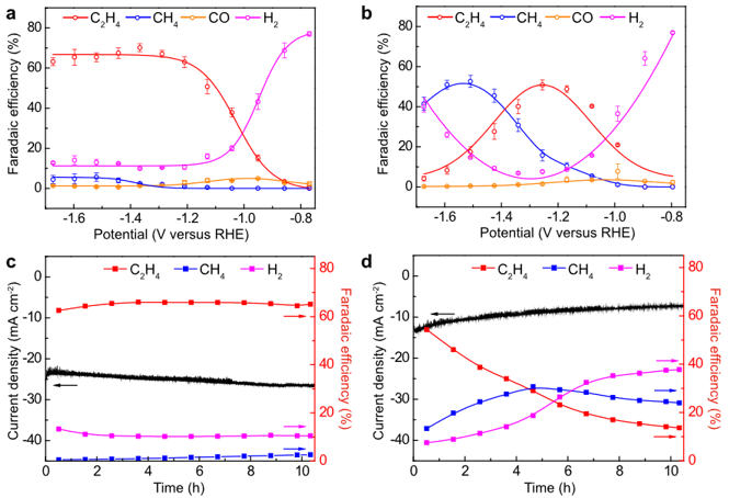
要点一:高乙烯选择性
与单独的Cu3(HITP)2相比,科琴黑(KB)的添加提高了乙烯选择性,法拉第效率宽电位窗口下稳定在60-70%之间,且具有更佳的催化稳定性。

图1. (a) KB@Cu3(HITP)2 与 (b) Cu3(HITP)2的CO2RR选择性;(c) KB@Cu3(HITP)2 与 (d) Cu3(HITP)2的CO2RR选择性。
要点二:KB诱导的MOF重构
原位XAS、非原位XRD与TEM等一系列测试手段表明,KB的加入使MOF中的Cuδ+节点迅速还原为单质Cu小微晶,并有助于其稳定。在没有导电载体的情况下,金属节点的还原速度减慢,且更容易熟化成大尺寸的纳米颗粒。这种现象主要归因于导电载体提供更好的电荷传输以有效的还原金属节点,同时使电荷均匀化以减轻Cu团聚。

图2. (a, c and e) KB@Cu3(HITP)2的原位XAS;(b, d and f) Cu3(HITP)2的原位XAS。
要点三:选择性的机理研究
球差TEM结合DFT计算表明,KB的添加导致还原得到的Cu具有高度复杂的晶格结构,包含多种晶面、晶界和晶格缺陷。这种晶面结构有着明显的几何效应同时有利于增强*CO中间体的吸附,此外还抑制了HER竞争反应,从而促进了C-C偶联,提高了乙烯选择性。 而未添加KB的MOF还原得到的Cu颗粒,由于奥氏熟化,显示相对单一的晶格结构特征,更有趋向于得到甲烷和氢气。

图3. (a) KB@Cu3(HITP)2和 (b) Cu3(HITP)2催化反应后的球差TEM图片;(c, d and e)DFT计算。
要点四:拓展应用
该研究通过改善电极上的电荷传输来调节和稳定Cu的结晶态,从而为CO2RR催化途径的调控提供了新的见解,这可以扩展到其他金属有机配合物材料中。
【文章链接】
//doi.org/10.1038/s41467-021-27169-9

